A LA UNE
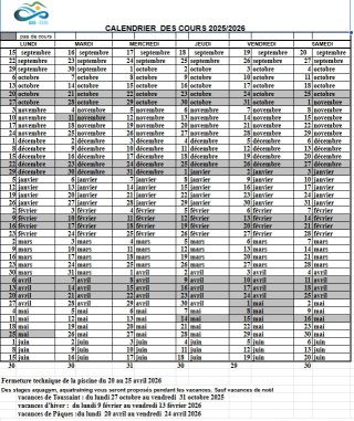
Toute l'actualitéCalendrier des cours pour la saison 2025 2026 en pièce jointe
Remise des diplômes et des médailles - tous les groupes Mélhya Jolly
Nouveauté à la rentrée avec l'ASG Jardin Aquatique pour les enfants nés en 2021 et 2022 Créneaux Mercredi 15h55 à 16h25 et 16h25 à 16h55 Une activité ludique et encadrée pour se familiariser avec...
Galerie
+ de photos / vidéosPlanning annuel
Pour vous inscrire voici un tuto :
|
NATURE DES COURS |
ASG |
USOL |
|---|---|---|
|
ECOLE DE NATATION ENFANTS NES ENTRE 2014 ET 2020
|
Lundi 18h - 19h Mardi 18h - 19h Mercredi 17h - 18h Mercredi 18h - 19h
|
Lundi 17h – 18h Mardi 17h – 18h Jeudi 18h -19h |
|
NATATION ADOS/PREADOS NES ENTRE 2008 ET 2013
|
Jeudi 19h – 20h |
Lundi 19h - 20h Mardi 19h – 20h |
|
NATATION PRE-ADOS COMPETITION (1)
|
Mardi 19h – 20h Mercredi 19h – 20h Vendredi 19h-20h30 |
|
|
NATATION ADULTES + 18 ANS
|
Jeudi 19h - 20h Jeudi 20h - 21h (pas de cours débutants)
|
Lundi: 19h 20h Mardi: 19h 20h (pas de cours débutants) Vendredi: 11h45 12h45 |
|
NATATION ADULTES MASTER COMPETITION (2) + 22ans
|
|
Mardi 19h 20h Mercredi 19h 20h Vendredi 11h45 12h45 |
|
AQUAGYM + 16 ans
|
Mercredi 11h - 12h Mercredi 19h - 20h Vendredi 12h45 - 13h45 Jeudi 20h00 21h00
|
Lundi: 19h 20h Mardi: 19h 20h Mardi: 20h 21h Jeudi: 12h45 13h45 Vendredi: 11h45 12h45 |
|
AQUATRAINING |
Jeudi 19h - 20 h (cours de 40 min)
|
Mardi 19h 20h Mercredi 20h 21h Cours de 40mn |
|
AQUAPHOBIE +16 ans
|
Jeudi 19h -20 h |
|
|
NATATION ARTISTIQUE Nés en 2011 et 2017 sachant nager 25m
|
|
Vendredi : 17h30 19h
1/2h à sec 1h dans l’eau |
|
BEBES NAGEURS DE 5 MOIS A 3 ANS (nés en 2023 et après) (2021 et 2022 uniquement en fratrie)
|
Samedi : 9h15 9h50 de 5 mois à 18 mois 9h 50 10h25 de 5 mois à 18 mois 10h25 11h05 de 18 mois à 3 ans 11h05 11h45 fratrie de 5 mois à 5 ans |
|
|
JARDIN AQUATIQUE Nés en 2021 et 2022 |
Mercredi 16h 16h30 16h30 17h |
|
(1) Natation
pré-ados compétition minimum requis : Marsouin Bleu et savoir
nager un 100X 4 nages inscriptions limitées et uniquement par
téléphone
contact : Directeur sportif 06 62 86 99 33 ou par mail :
asgnatation@gmail.usol
(2)
Master : Ce sont des cours d'un niveau élevé. Un test de
100m4nages sera obligatoire avant l'inscription.
Vous
ne pouvez pas vous inscrire via notre site, vous devez
obligatoirement contacter notre directeur sportif 06 62 86 99 33 ou
par mail : natationusol@gmail.com


